曹铭辉教授团队揭示全球青年人群心力衰竭的疾病负担与病因谱变迁规律在《JACC: Heart Failure》杂志发表
论文题目:Global Burden of Heart Failure in Adults Aged 20-49 Years, 1990-2021.
通讯作者:曹铭辉;黄浩泉
第一作者:胡楚文;黄穗花
论文发表刊物:JACC: Heart Failure
|
|
【研究背景】
目前全球心衰研究主要关注老年人群,但青年心衰的疾病负担长期被低估。近年研究发现,青年心衰患者不仅死亡率较高,病因也以心肌病和先天性心脏病为主。然而,由于缺乏系统的流行病学数据,针对这一人群的精准防治策略难以有效制定,亟需填补相关研究空白。
【主要发现】
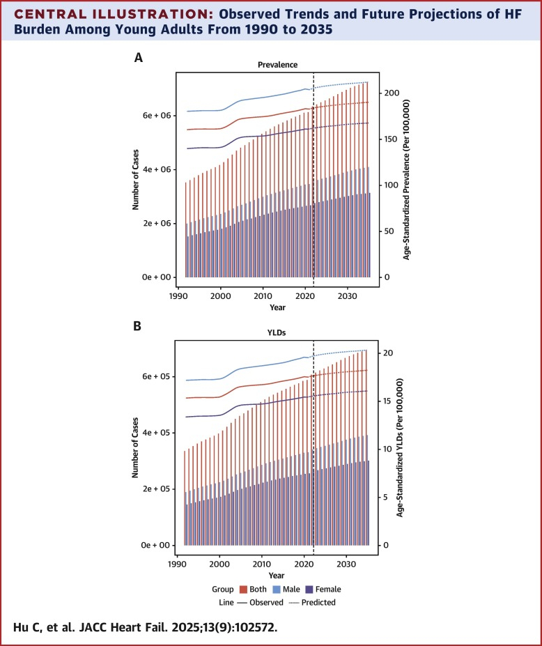
从1990年至2021年,全球青年心衰患者人数从336万增至614万,年龄标准化患病率从每10万人159.98例上升至182.89例。中等社会人口指数(SDI)地区增长最快(年均变化百分比0.72%)。缺血性心脏病、心肌病/心肌炎和高血压性心脏病始终位列病因前三。值得注意的是,药物使用障碍和内分泌代谢疾病相关的心衰患病率在三十年间增幅最大(分别约165%和153%)。预测显示,到2035年青年心衰患病率和伤残寿命年数将继续保持增长趋势。
【研究意义】
本研究首次系统描绘了1990-2021年全球20-49岁青年人群心力衰竭的疾病负担与病因谱变迁,填补了该领域长期缺乏全球性系统流行病学数据的空白。研究揭示的中等SDI地区心衰患病率增长最快、以及病因谱向代谢性疾病和药物使用障碍等非传统因素转变的关键趋势,为全球范围内制定差异化的年龄特异性心衰防控策略提供了至关重要的科学依据。
本研究的重要性与价值获得了国际同行的认可。针对本研究的特邀编辑评论(Pavlovic and Vidal-Perez, JACC: Heart Failure, 2025)明确指出,该研究“为理解青年心衰的流行病学奠定了基础”,并特别强调其发现“凸显了高与中低SDI国家之间心衰患病趋势的差异”,这一发现“表明在全球青年成年人口中,心衰预防策略仍有机遇”。该评论最终肯定本研究“为未来的研究搭建了舞台,旨在为公共卫生干预措施提供信息,以减轻全球心衰负担”。
论文链接: https://www.sciencedirect.com/science/article/pii/S2213177925005001?via%3Dihub
阅读二维码:

粤公网安备 44010402003003号 